Quadratic equations are a fundamental concept in algebra, and one of the key methods for solving them is by factoring. This process involves breaking down the equation into its individual factors to find the solutions. It is a crucial skill for students to master, and one way to practice is by using worksheets with answer keys.
By using worksheets with answer keys, students can practice solving quadratic equations by factoring and check their answers to ensure they are on the right track. This allows for independent practice and immediate feedback, helping students to learn and improve their skills.
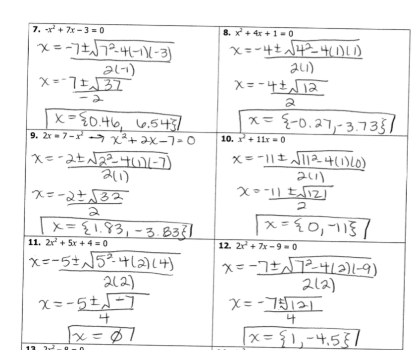
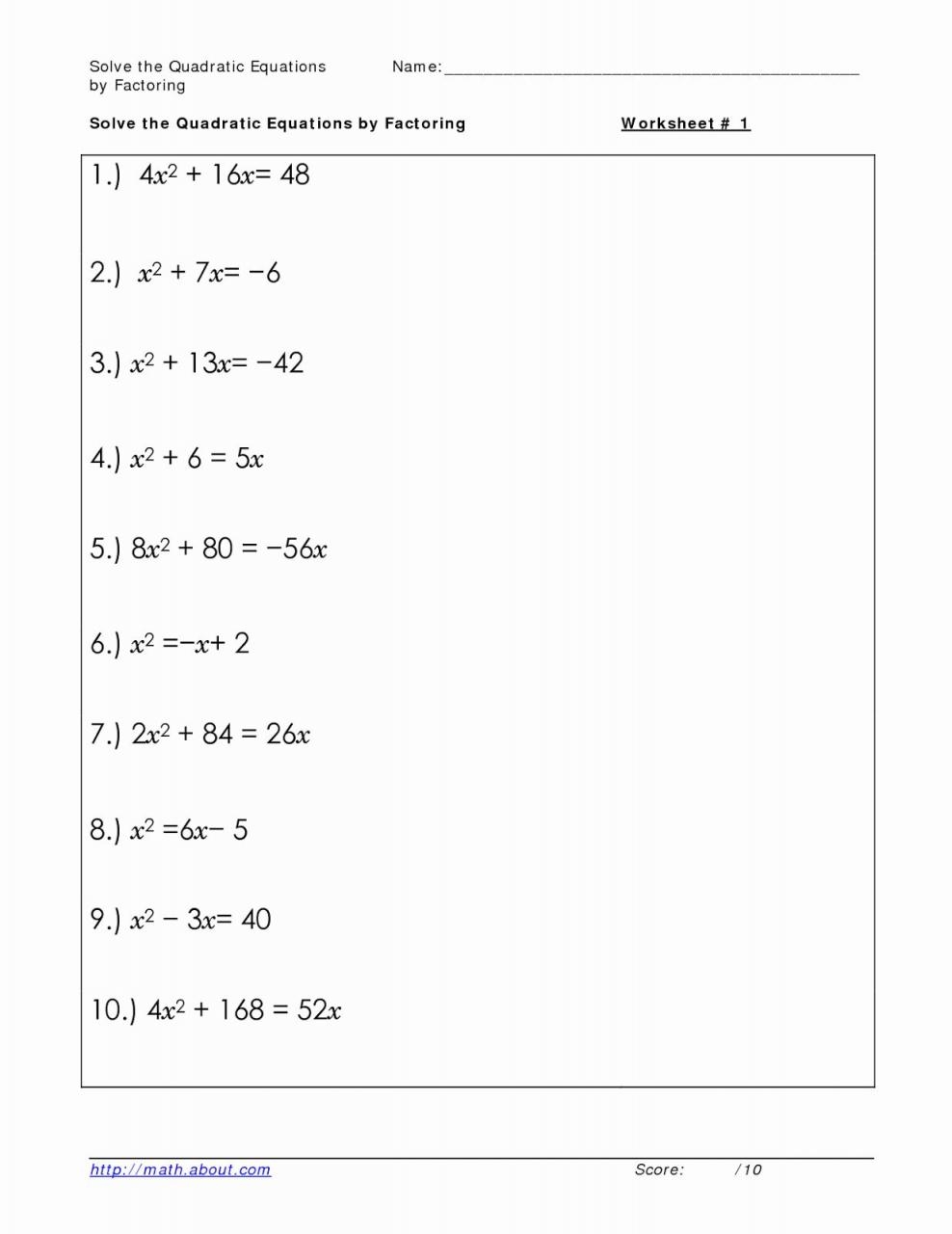
One common type of worksheet for practicing solving quadratic equations by factoring includes a variety of equations for students to solve. These equations may vary in difficulty, providing a range of challenges for students to work through. The answer key typically provides the solutions to each equation, allowing students to check their work and verify their answers.
When solving quadratic equations by factoring, students must first identify the factors of the quadratic expression. They then set each factor equal to zero and solve for the variable to find the solutions to the equation. The answer key on the worksheet can help guide students through this process and provide them with the correct solutions for comparison.
Practicing with worksheets and answer keys can help students build confidence in their ability to solve quadratic equations by factoring. By working through a variety of equations and checking their answers, students can improve their understanding of the concept and develop their problem-solving skills. This practice is essential for success in algebra and beyond.
Overall, using worksheets with answer keys to practice solving quadratic equations by factoring is a valuable tool for students. It allows for independent practice, immediate feedback, and the opportunity to improve skills and build confidence. By utilizing these resources, students can strengthen their understanding of quadratic equations and enhance their problem-solving abilities.
