Differential equations are mathematical equations that involve one or more functions and their derivatives. These equations are used to model a wide range of phenomena in science and engineering, making them an important topic in mathematics education. To practice solving these equations, students often use worksheets that contain various problems for them to work on.
By working on a differential equations worksheet, students can improve their problem-solving skills and deepen their understanding of the concepts involved. These worksheets typically include a mix of different types of problems, such as separable, linear, and exact differential equations, to help students develop a comprehensive understanding of the subject.
Differential Equations Worksheet
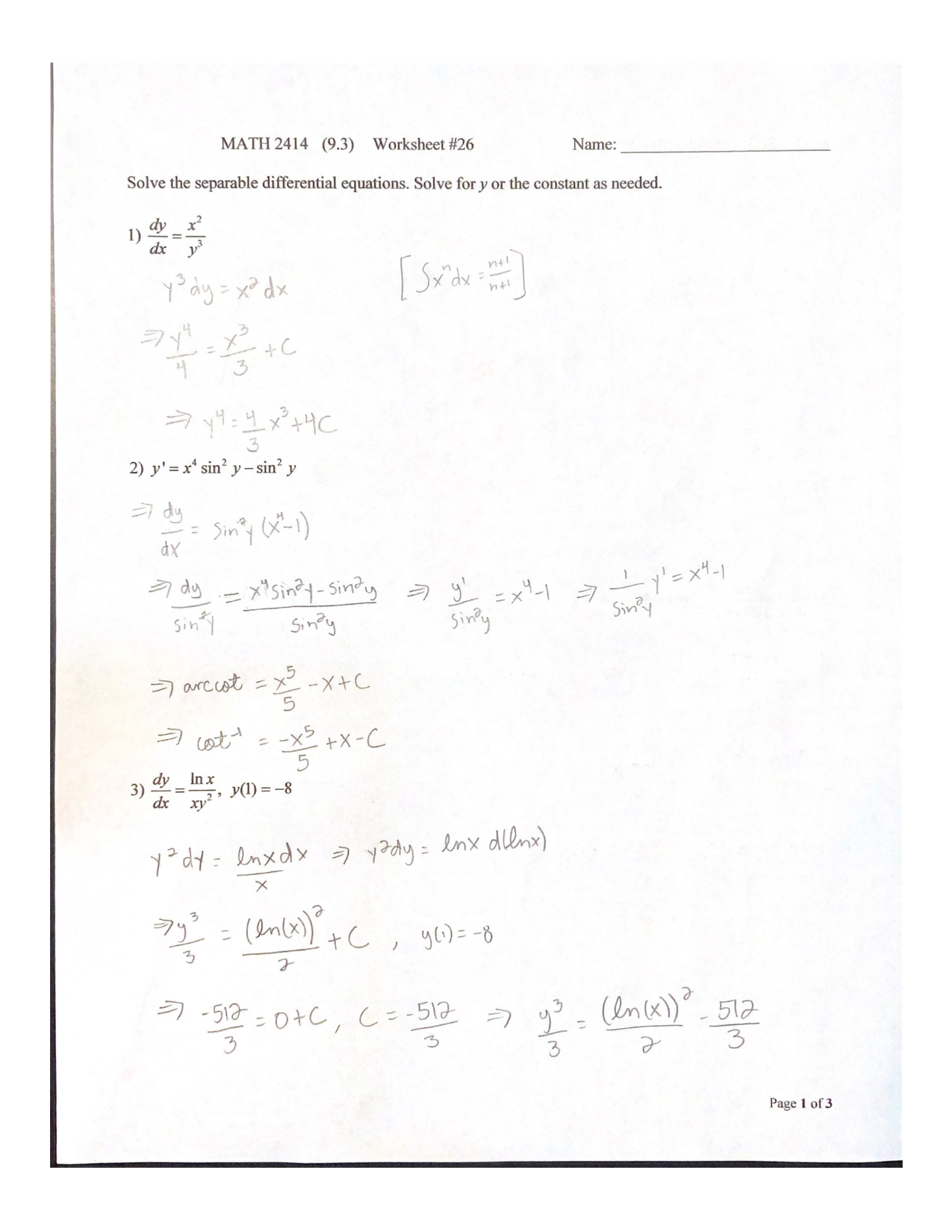
One common type of problem found on a differential equations worksheet is solving separable differential equations. These equations can be separated into two equations that only involve the independent and dependent variables, making them easier to solve. By practicing these problems, students can learn the techniques required to solve this type of equation efficiently.
Another type of problem that students may encounter on a differential equations worksheet is solving linear differential equations. These equations can be written in a standard form that allows students to use methods such as integrating factors to find a solution. By working through these problems, students can become more comfortable with solving linear differential equations.
Exact differential equations are also commonly featured on differential equations worksheets. These equations can be written in a special form that allows students to easily determine if they are exact or not. By practicing these problems, students can learn how to identify exact differential equations and use the appropriate method to solve them.
In addition to these types of problems, differential equations worksheets may also include applications of differential equations to real-world problems. These problems can help students see the practical relevance of differential equations and how they can be used to model various phenomena in science and engineering.
In conclusion, differential equations worksheets are valuable tools for students to practice and improve their skills in solving differential equations. By working through a variety of problems, students can develop a deeper understanding of the concepts involved and gain the confidence to tackle more complex problems in the future.
