Equations with variables on both sides can be challenging for students to solve. These types of equations require students to combine like terms and simplify expressions before isolating the variable. To help students practice and master this concept, worksheets are a useful tool. They provide structured practice problems that allow students to develop their skills and confidence in solving equations with variables on both sides.
Worksheets for equations with variables on both sides typically include a mix of simple and more complex problems. Students are required to apply the rules of algebra to rearrange terms and solve for the unknown variable. These worksheets are designed to reinforce the importance of maintaining balance on both sides of the equation throughout the solving process.
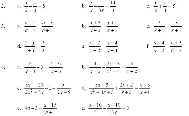
Equations with Variables on Both Sides Worksheets
One common type of problem found on these worksheets involves distributing and combining like terms before isolating the variable. This process helps students practice their algebraic skills and develop a deeper understanding of how equations work. Additionally, students may encounter problems that require them to use inverse operations to solve for the variable on both sides of the equation.
As students progress through the worksheets, they may encounter more challenging problems that involve fractions or decimals. These types of problems require students to apply their knowledge of operations with fractions and decimals to successfully solve the equation. The worksheets provide a variety of practice problems to ensure that students are well-prepared for any type of equation they may encounter.
Furthermore, equations with variables on both sides worksheets often include word problems that require students to set up and solve equations to find the unknown quantity. These problems help students develop their problem-solving skills and apply algebraic concepts to real-world scenarios. By practicing these types of problems, students can see the practical applications of algebra in solving everyday problems.
In conclusion, equations with variables on both sides worksheets are a valuable resource for students to practice and master algebraic concepts. These worksheets provide structured practice problems that help students develop their problem-solving skills and build confidence in solving equations. By working through a variety of problems, students can strengthen their understanding of algebra and improve their ability to solve equations with variables on both sides.
