Skip to content

Event Planning Agreement Template

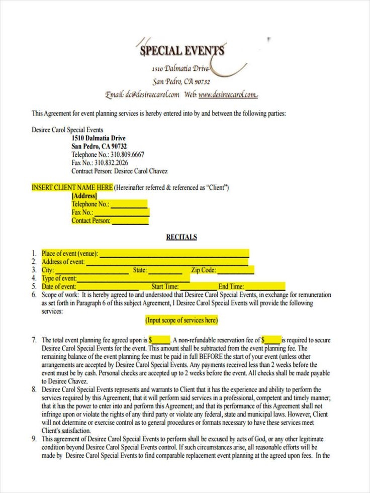
    event planning agreement template

    Download and Print event planning agreement template Listed below

    Event Planning Agreement Template Modern Resume Template Word

     Printable Event Planning Agreement Template

    Event Planning Agreement Template

    Event Planning Agreement Template

    Event Planning Agreement Template