Exponential and logarithmic equations are fundamental concepts in algebra and mathematics. Understanding how to solve these types of equations is crucial for success in higher-level math courses. One way to practice and reinforce these skills is through worksheets that provide a variety of problems to solve.
Exponential and logarithmic equations can be challenging for students to grasp initially, but with practice and determination, they can become more confident in solving them. Worksheets are a great tool for students to work independently and at their own pace, allowing them to strengthen their skills and improve their understanding of these concepts.
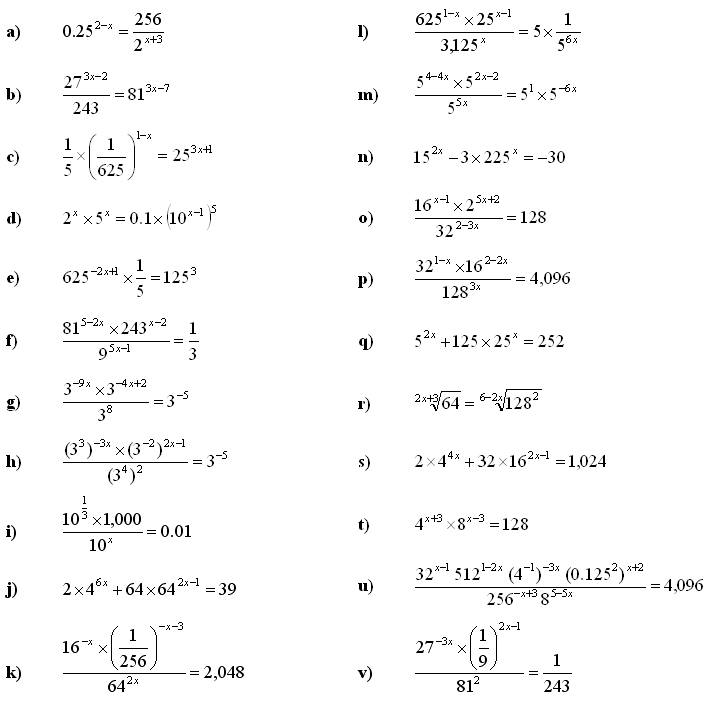
Exponential and Log Equations Worksheet
One type of problem commonly found on exponential and log equations worksheets is solving exponential equations. These equations involve variables in the exponent, and students must use properties of exponents to simplify and solve for the variable. For example, solving an equation like 2^x = 16 requires students to understand that 2^4 = 16, so x = 4.
Logarithmic equations are another type of problem that students may encounter on these worksheets. These equations involve logarithms, which are the inverse functions of exponential functions. Students must understand how to rewrite logarithmic equations in exponential form and vice versa in order to solve for the variable. For instance, solving an equation like log(base 3) 9 = x requires students to know that 3^x = 9, so x = 2.
Some worksheets may also include word problems that involve exponential and logarithmic equations. These problems require students to apply their knowledge of these concepts to real-life situations, such as population growth or decay, compound interest, or radioactive decay. By practicing these types of problems, students can see the practical applications of exponential and logarithmic equations.
Overall, exponential and logarithmic equations worksheets are a valuable resource for students to practice and improve their skills in solving these types of equations. By working through a variety of problems, students can become more confident in their abilities and better prepared for more advanced math courses. With dedication and practice, students can master exponential and logarithmic equations and excel in their mathematical studies.
