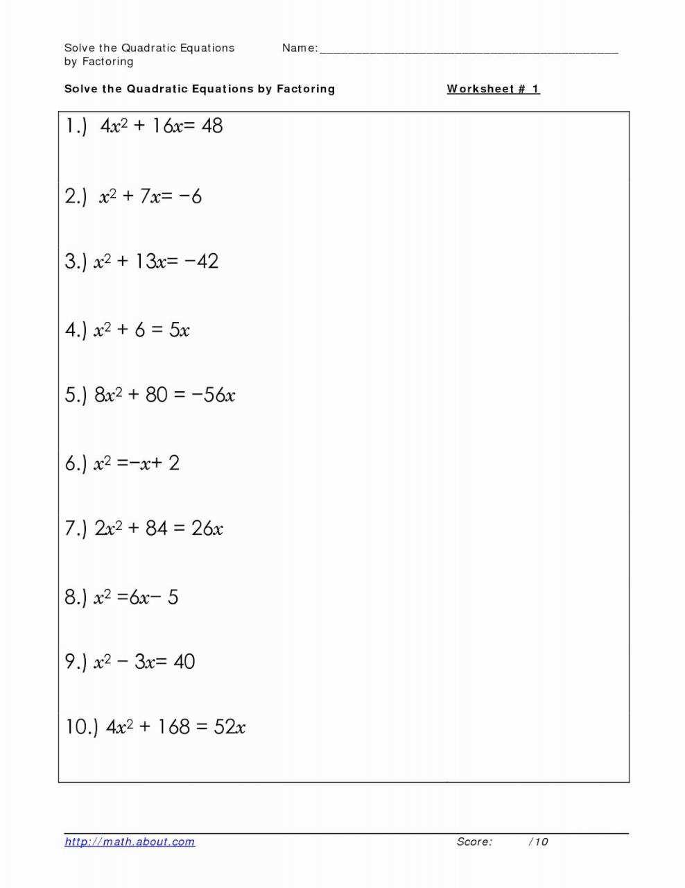
Quadratic equations are an essential topic in algebra, and understanding how to factorize them is a key skill for students to master. Factorization of quadratic equations worksheet is a useful tool to help students practice and improve their skills in this area. These worksheets typically contain a variety of quadratic equations for students to factorize, providing them with the opportunity to apply different methods and techniques to solve them.
Factorization of quadratic equations worksheets can be tailored to suit different levels of difficulty, making them suitable for students at various stages of their learning. They can be used in classroom settings as well as for homework assignments, allowing students to practice factorizing quadratic equations independently.
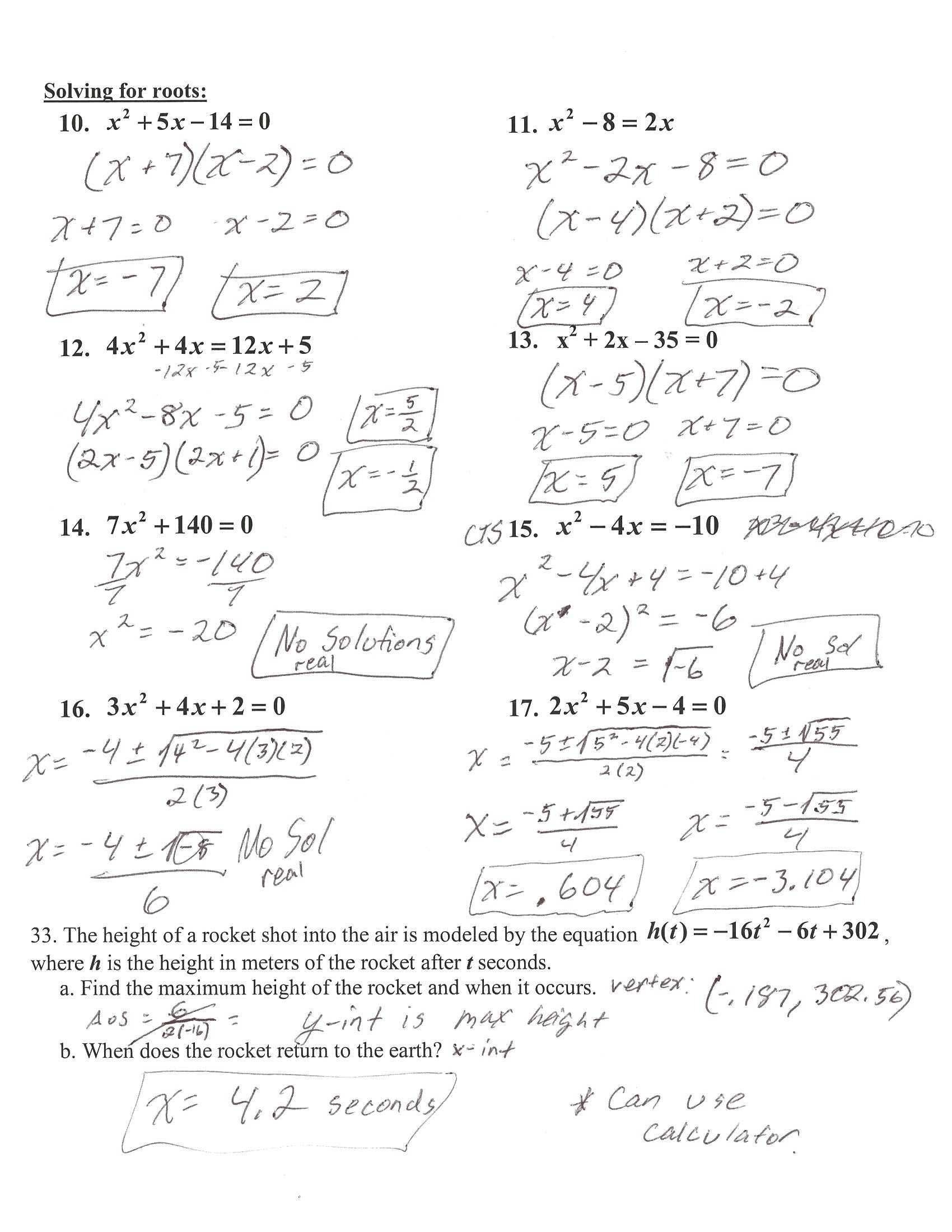
One common method used in factorizing quadratic equations is the method of splitting the middle term. This involves breaking down the middle term of the quadratic equation into two terms that can be factored separately. By applying this method, students can easily factorize quadratic equations and find their solutions.
Another method that is often used in factorizing quadratic equations is the method of completing the square. This method involves rewriting the quadratic equation in a perfect square form, making it easier to factorize. By practicing this method through worksheets, students can improve their understanding of completing the square and apply it to factorize different quadratic equations.
Factorization of quadratic equations worksheets may also include word problems or real-life scenarios that require students to form quadratic equations and factorize them to find the solutions. This helps students develop their problem-solving skills and apply factorization techniques in practical situations.
In conclusion, factorization of quadratic equations worksheets are valuable resources for students to practice and enhance their skills in factorizing quadratic equations. By working through these worksheets, students can develop a deeper understanding of quadratic equations and improve their ability to factorize them using different methods and techniques.
