Kinematics Equations Worksheet
Kinematics is the branch of physics that deals with the motion of objects without considering the forces that cause the motion. It involves studying the position, velocity, and acceleration of objects over time. Kinematics equations are used to describe the motion of objects in a mathematical way, allowing us to predict and analyze their movements.
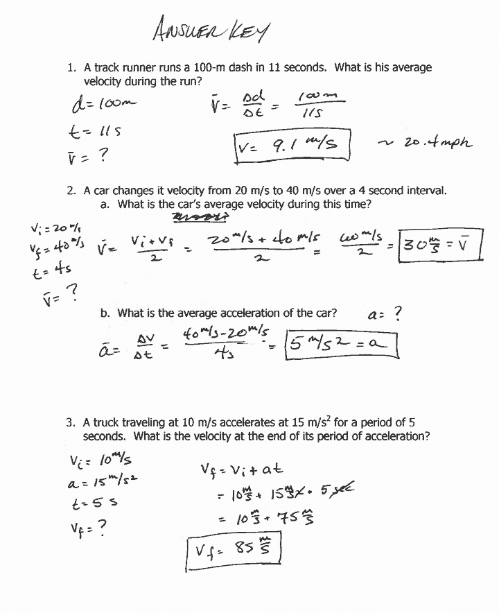
A kinematics equations worksheet is a valuable tool for students to practice applying these equations to solve problems involving motion. By working through various scenarios and using the equations, students can develop a better understanding of how objects move and how to calculate their motion parameters.
Examples of Kinematics Equations Worksheet
A typical kinematics equations worksheet may include problems involving motion in one dimension, such as a car accelerating from rest, an object being dropped from a height, or a ball thrown into the air. Students would need to use equations such as the kinematic equations of motion, which include formulas for displacement, velocity, acceleration, and time.
By practicing with these worksheets, students can improve their problem-solving skills and gain confidence in applying the equations to real-world situations. They can also learn how to interpret the results of their calculations and make predictions about the motion of objects based on their initial conditions.
Some worksheets may also include problems involving motion in two dimensions, such as projectile motion. In these cases, students would need to apply the kinematics equations separately for the horizontal and vertical components of motion, taking into account factors such as the angle of launch and the initial velocity of the object.
Overall, kinematics equations worksheets provide a hands-on way for students to practice and reinforce their understanding of motion and the equations that govern it. By working through these problems, students can improve their problem-solving skills, enhance their mathematical abilities, and gain a deeper insight into the principles of kinematics.
In conclusion, kinematics equations worksheets are a valuable resource for students studying motion and physics. By practicing with these worksheets, students can develop a better understanding of how objects move and how to calculate their motion parameters using the relevant equations. These worksheets provide a practical and interactive way for students to engage with the material and enhance their learning experience.





