Literal equations are equations where variables represent unknown values. These equations often involve multiple variables and are commonly used in algebra to solve for a specific variable. Working with literal equations can be challenging, but practice makes perfect. One way to practice solving literal equations is by using worksheets.
A literal equations worksheet in PDF format provides students with a convenient way to practice solving equations with multiple variables. These worksheets usually include a variety of equations for students to work through, helping them develop their skills in manipulating equations and isolating variables. With a PDF worksheet, students can easily print out the exercises and work on them anywhere.
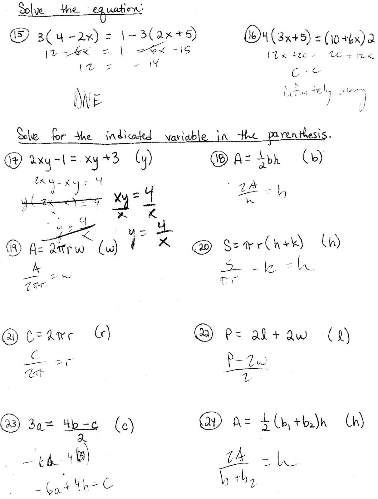
LITERAL EQUATIONS WORKSHEET PDF
When working on a literal equations worksheet in PDF, students are presented with equations that involve multiple variables. They are required to isolate a specific variable in each equation. This process involves rearranging the equation to solve for the desired variable, often using inverse operations.
By practicing with literal equations worksheets, students can improve their problem-solving skills and gain a better understanding of algebraic concepts. These worksheets can also help students prepare for tests and exams by giving them the opportunity to work through various types of equations and scenarios.
Literal equations worksheets in PDF format are also beneficial for teachers, as they can be easily shared with students either in print or electronically. Teachers can use these worksheets as homework assignments, in-class practice, or as part of a review session. The structured format of the worksheets allows for consistent practice and reinforcement of key algebraic concepts.
In conclusion, a literal equations worksheet in PDF format is a valuable tool for both students and teachers in the study of algebra. By working through a variety of equations, students can enhance their problem-solving skills and gain confidence in manipulating algebraic expressions. These worksheets provide a structured approach to practicing literal equations and can be a valuable resource for anyone looking to improve their algebra skills.
