Literal equations can be a challenging topic for many students to grasp. These types of equations involve multiple variables and can be difficult to solve. One helpful tool for practicing literal equations is a worksheet with answers in PDF format. This allows students to practice solving these equations and check their answers for accuracy. In this article, we will explore the benefits of using a literal equations worksheet with answers PDF.
By using a literal equations worksheet with answers in PDF format, students can practice solving a variety of equations involving multiple variables. This type of practice can help students develop a better understanding of how to manipulate equations and solve for different variables. Additionally, having the answers available allows students to check their work and correct any mistakes they may have made. This can help to reinforce the concepts and improve problem-solving skills.
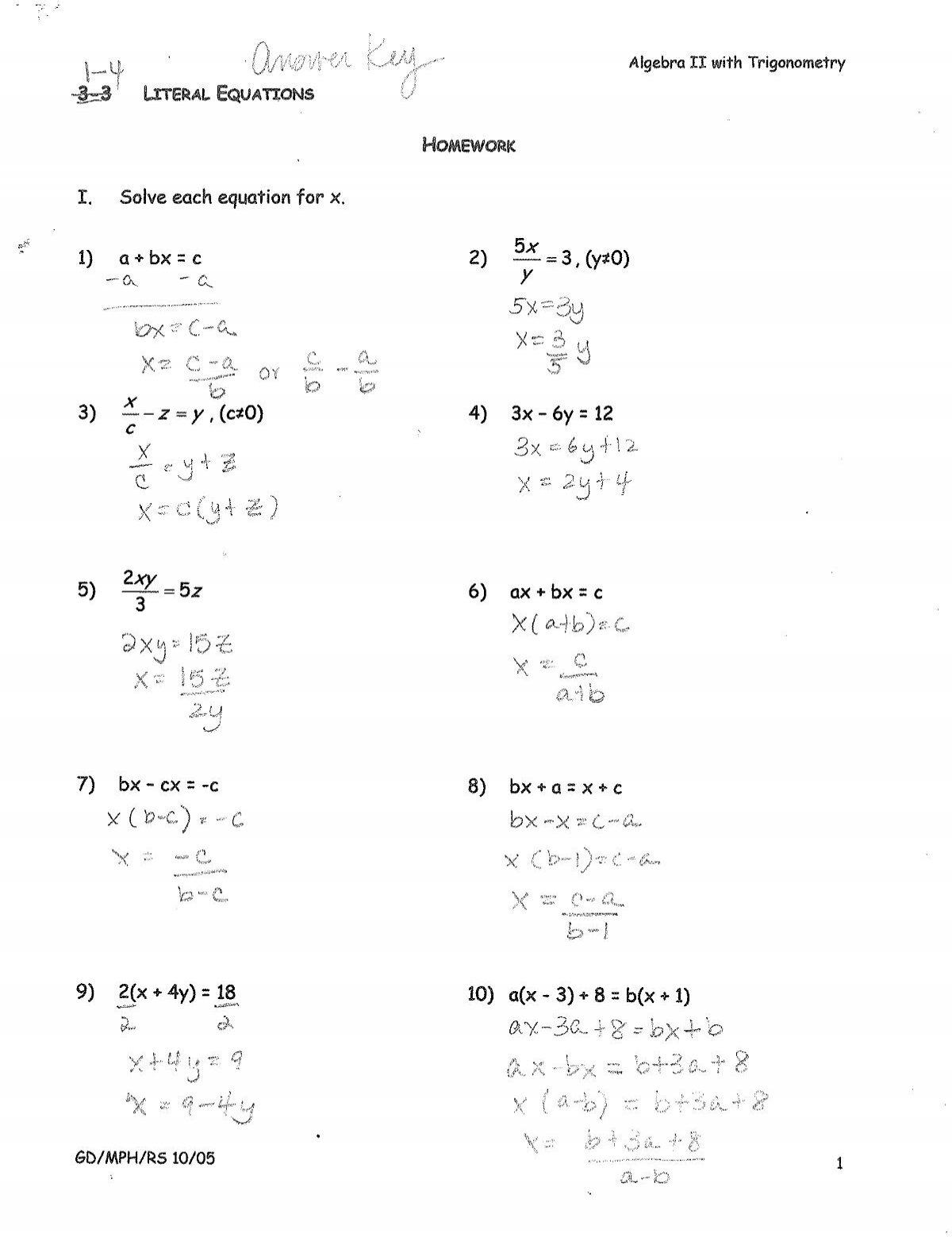
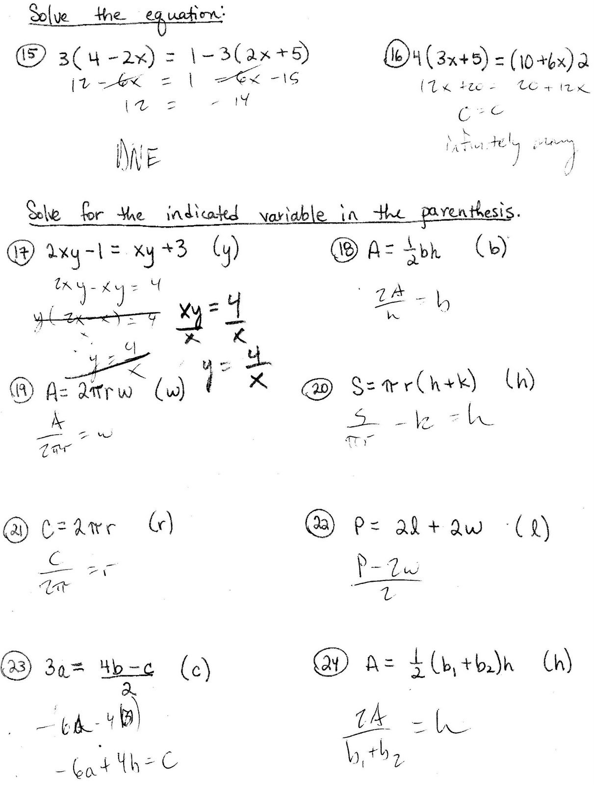
Literal Equations Worksheet with Answers PDF
One of the key benefits of using a literal equations worksheet with answers in PDF format is the convenience it offers. Students can easily access and print the worksheet, allowing them to practice solving equations at their own pace. This flexibility is especially helpful for students who may need extra practice or who want to review the material outside of class. Additionally, having the answers available in PDF format allows students to check their work immediately and make corrections as needed.
Another advantage of using a literal equations worksheet with answers PDF is that it provides a structured way for students to practice and assess their understanding of the material. The worksheet can be divided into sections based on different types of equations, allowing students to focus on specific areas where they may need more practice. This targeted practice can help students build confidence in their problem-solving abilities and improve their overall performance in the subject.
In conclusion, a literal equations worksheet with answers in PDF format is a valuable resource for students studying this challenging topic. By providing practice problems and answers in a convenient format, these worksheets can help students improve their problem-solving skills and deepen their understanding of literal equations. Whether used in the classroom or for independent study, a literal equations worksheet with answers PDF can be a helpful tool for students looking to master this important mathematical concept.
