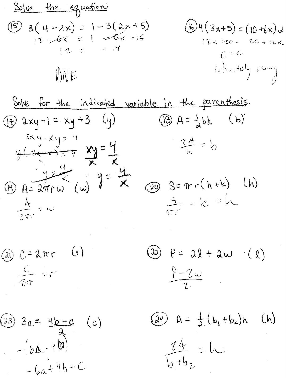
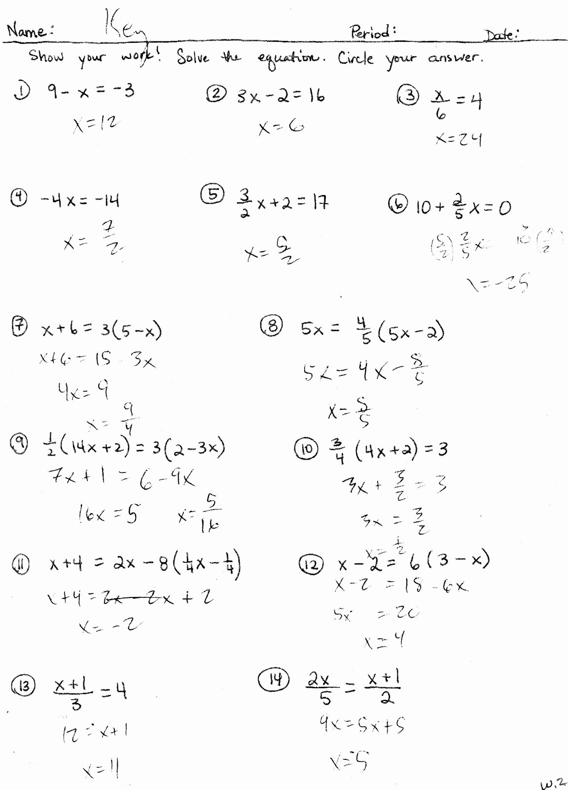
Literal Equations Worksheet
Literal equations are equations in which variables represent known values. These equations can be quite challenging for students as they require a deep understanding of algebraic concepts. One way to practice solving literal equations is through worksheets that provide various problems for students to work on.
A literal equations worksheet typically includes a series of equations where students are required to isolate a specific variable. These worksheets help students develop their problem-solving skills and improve their understanding of algebraic concepts. By practicing on these worksheets, students can become more proficient in solving literal equations.
Benefits of Using Literal Equations Worksheets
1. Practice Makes Perfect: By working on a literal equations worksheet, students get ample opportunities to practice solving different types of equations. This repetitive practice helps them master the concepts and techniques required to solve literal equations efficiently.
2. Reinforcement of Concepts: Literal equations worksheets reinforce the fundamental algebraic concepts that are necessary for solving equations. Students can apply these concepts to various problems and develop a deeper understanding of algebra.
3. Customized Learning: Worksheets can be tailored to suit the needs of individual students. Teachers can provide different levels of difficulty to challenge students at their respective skill levels. This personalized approach ensures that students receive the necessary support to improve their algebraic skills.
4. Self-Assessment: Literal equations worksheets enable students to assess their own understanding of the subject. By attempting problems on their own and checking their answers, students can identify areas where they need further practice and seek help accordingly.
5. Preparation for Assessments: Working on literal equations worksheets prepares students for assessments and exams where they may encounter similar problems. By practicing regularly, students can build confidence in their ability to solve literal equations accurately and efficiently.
In conclusion, literal equations worksheets are valuable tools for students to practice and improve their algebraic skills. These worksheets provide a structured approach to solving equations and help students develop a solid foundation in algebra. By utilizing literal equations worksheets, students can enhance their problem-solving abilities and excel in their algebra studies.





