Literal equations are equations where variables are used to represent unknown values. These equations are commonly used in algebra and are essential for solving various mathematical problems. Literal equations worksheets with answers are valuable resources for students to practice and master solving these types of equations.
These worksheets typically consist of a series of literal equations that students need to solve by isolating a specified variable. They often include a mix of simple and complex equations to challenge students at different levels of proficiency. Having access to worksheets with answers allows students to check their work and identify any mistakes they may have made.
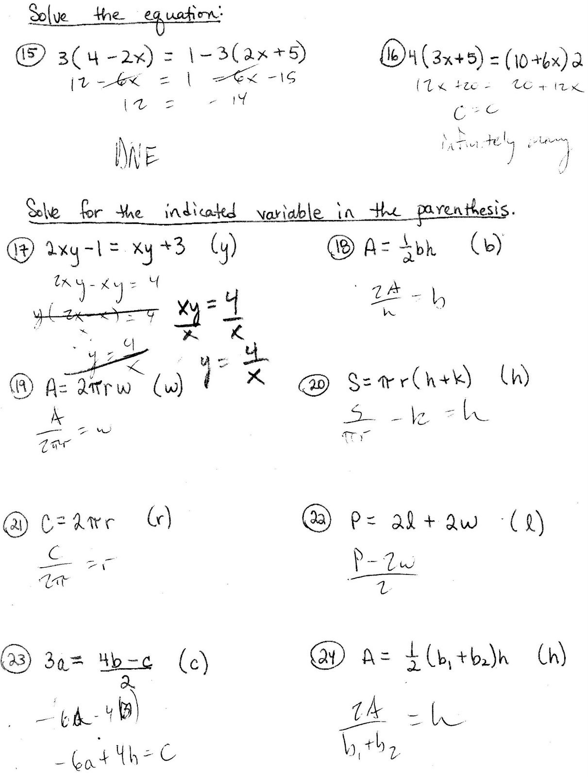
LITERAL EQUATIONS WORKSHEETS WITH ANSWERS
Literal equations worksheets with answers provide students with the opportunity to practice solving equations with multiple variables. By working through these worksheets, students can improve their algebraic skills and gain a better understanding of how to manipulate equations to isolate a specific variable. The answers included in the worksheets allow students to check their work and learn from any errors they may have made.
These worksheets cover a variety of topics, such as linear equations, quadratic equations, and systems of equations. They also include real-world problems that require students to translate a situation into a mathematical equation and solve for the unknown variable. By practicing with these worksheets, students can develop their problem-solving skills and become more confident in their ability to tackle complex equations.
Furthermore, literal equations worksheets with answers can be used by teachers as a tool for assessing students’ understanding of the material. Teachers can assign these worksheets as homework or in-class assignments to gauge students’ proficiency in solving literal equations. The answers provided in the worksheets allow teachers to quickly review students’ work and provide feedback to help them improve their skills.
In conclusion, literal equations worksheets with answers are valuable resources for students to practice and master solving equations with multiple variables. These worksheets offer a variety of problems that challenge students at different levels and help them improve their algebraic skills. Whether used for individual practice or in a classroom setting, these worksheets provide a structured way for students to enhance their problem-solving abilities and build confidence in their mathematical skills.
