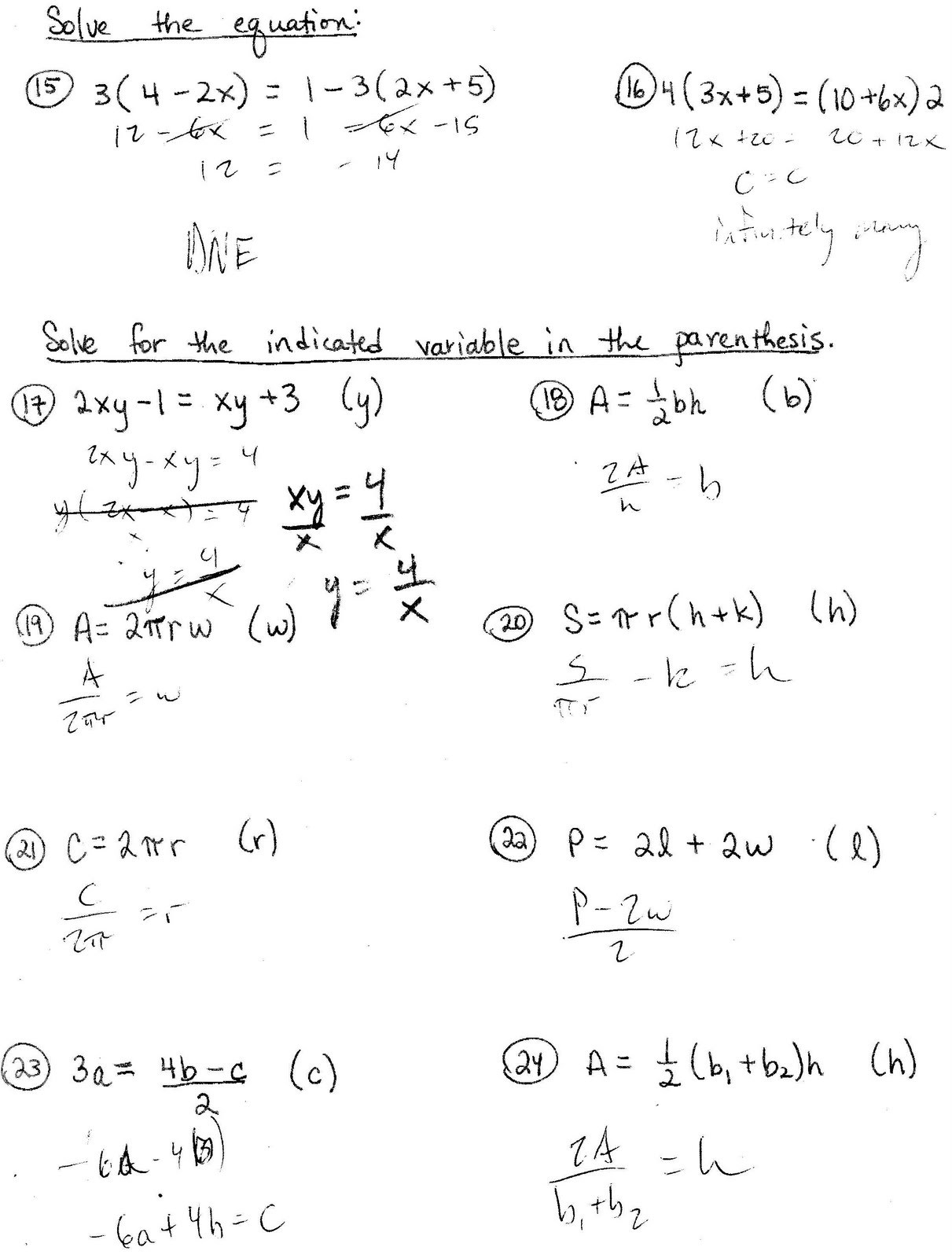
Literal equations are equations where variables represent unknown quantities. These types of equations are commonly used in math and science to solve for a specific variable. Literal equations worksheets are a great tool for students to practice solving these types of equations and improve their algebra skills.
These worksheets typically include a variety of literal equations for students to solve. They may involve manipulating the equation to isolate a specific variable or rearranging the equation to solve for a different variable. By practicing with these worksheets, students can become more comfortable with manipulating equations and develop a deeper understanding of algebraic concepts.
One common type of literal equation involves solving for a specific variable in terms of other variables. For example, if given the equation A = L x W, where A represents the area of a rectangle, L represents the length, and W represents the width, students may be asked to solve for L in terms of A and W. By practicing with worksheets that present these types of equations, students can improve their problem-solving skills and gain confidence in manipulating variables.
Literal equations worksheets can also include real-world applications to help students see the relevance of algebra in everyday life. For example, students may be presented with a problem involving the volume of a cylinder and asked to solve for the radius in terms of the height and volume. By working through these types of problems, students can see how algebra can be used to solve practical problems and develop critical thinking skills.
Additionally, literal equations worksheets can be tailored to different skill levels to accommodate students at various stages of their algebra education. Some worksheets may focus on basic manipulation of equations, while others may include more complex problems that require multiple steps to solve. This allows students to progress at their own pace and build a strong foundation in algebraic concepts.
In conclusion, literal equations worksheets are a valuable resource for students to practice solving equations and improve their algebra skills. By working through a variety of problems, students can develop a deeper understanding of algebraic concepts and gain confidence in manipulating variables. These worksheets can be a useful tool for teachers to assess student understanding and provide targeted instruction to help students succeed in algebra and beyond.
