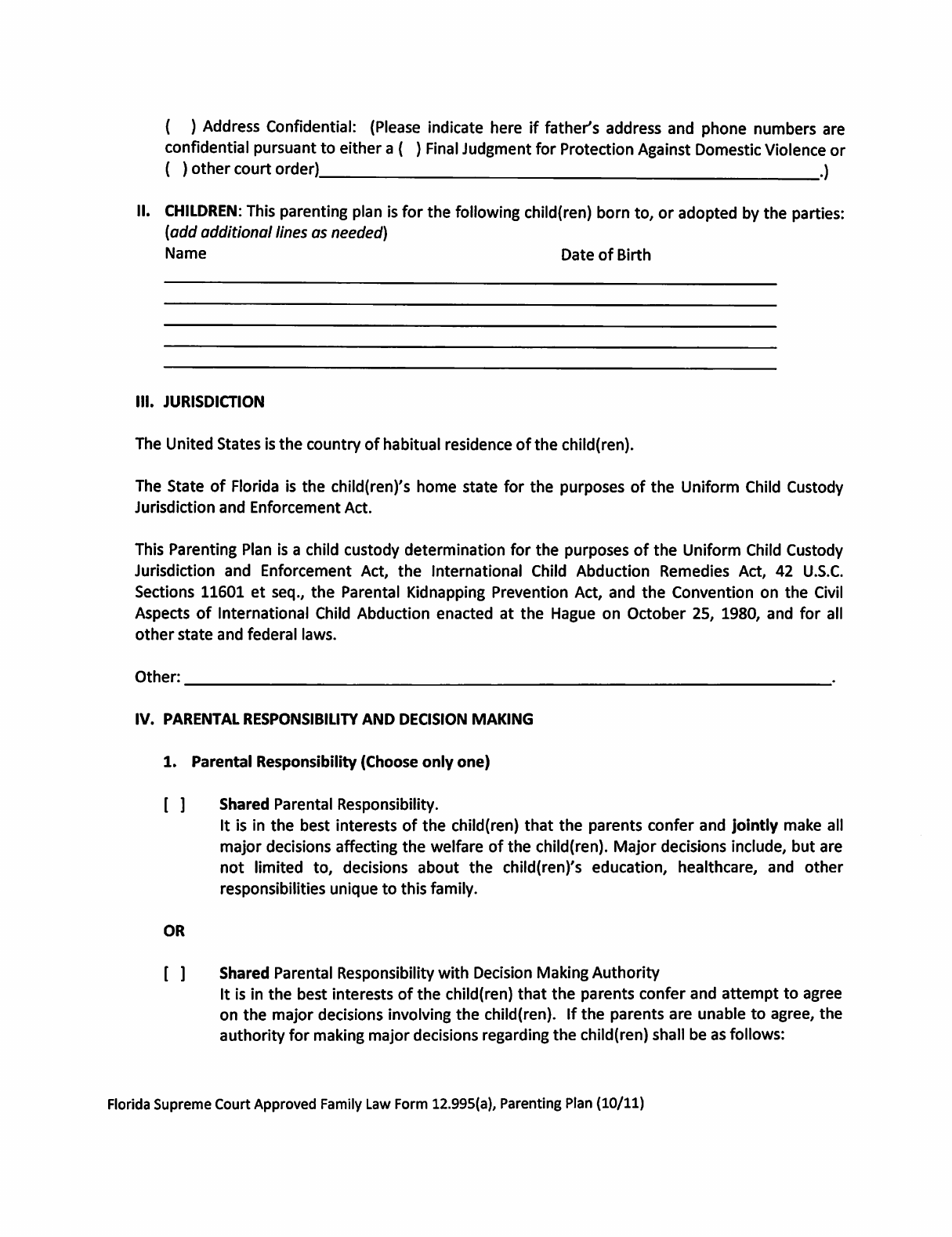
Parenting plans are essential documents that outline how parents will raise their children after a divorce or separation. In the state of Florida, it is required by law for parents to create a parenting plan that addresses various aspects of their children’s upbringing.
Having a parenting plan template can make the process of creating a plan much easier and ensure that all important factors are considered. This template can serve as a guide for parents to follow and help them navigate through the complexities of co-parenting.
Key Components of a Parenting Plan Template in Florida
1. Parental Responsibility: The template should specify how parental responsibilities will be divided between the parents, including decision-making authority on important matters such as education, healthcare, and religion.
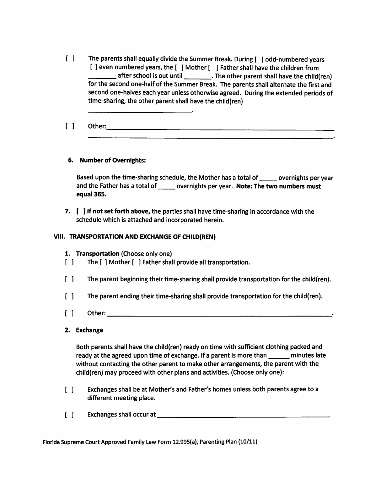
2. Time-Sharing Schedule: The template should include a detailed schedule outlining when the children will spend time with each parent. This schedule should consider holidays, vacations, and special occasions to ensure that both parents have ample time with their children.
3. Communication: The template should address how parents will communicate with each other regarding the children’s well-being. This may include methods of communication, frequency of updates, and guidelines for resolving conflicts.
4. Financial Support: The template should outline how financial responsibilities for the children will be divided between the parents, including child support payments, healthcare expenses, and extracurricular activities.
5. Dispute Resolution: The template should include a plan for resolving disputes that may arise between parents regarding the parenting plan. This could involve mediation, arbitration, or seeking legal assistance if necessary.
By using a parenting plan template in Florida, parents can ensure that all important aspects of co-parenting are addressed and that their children’s best interests are prioritized. It can also help avoid misunderstandings and conflicts in the future by providing a clear and structured agreement for both parents to follow.
In conclusion, creating a parenting plan template in Florida is crucial for divorced or separated parents to effectively co-parent their children. By including key components such as parental responsibilities, time-sharing schedules, communication guidelines, financial support, and dispute resolution plans, parents can ensure a harmonious and stable upbringing for their children.
