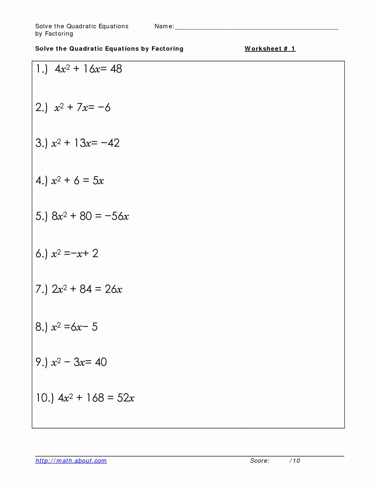
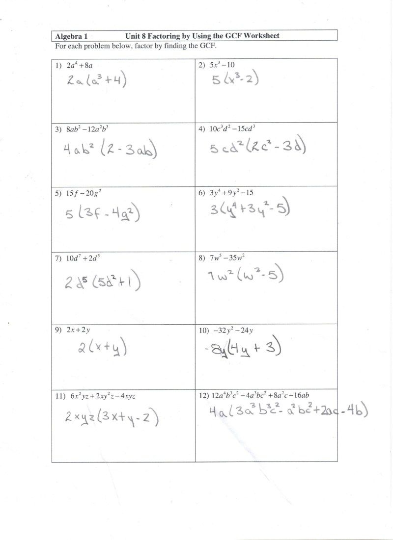
Quadratic equations are an essential part of algebra, and mastering them is crucial for success in higher math courses. One way to practice and improve your skills in solving quadratic equations is by using worksheets. These worksheets provide a structured approach to learning and allow you to practice solving various types of quadratic equations.
Quadratic equations worksheets typically include a variety of problems that require you to solve quadratic equations using different methods such as factoring, completing the square, or using the quadratic formula. These worksheets help you develop your problem-solving skills and deepen your understanding of quadratic equations.
Benefits of Using Quadratic Equations Worksheets
One of the main benefits of using quadratic equations worksheets is that they provide a structured and organized way to practice solving quadratic equations. By working through a series of problems on a worksheet, you can gradually improve your skills and build confidence in solving quadratic equations. Additionally, worksheets often include answer keys, allowing you to check your work and identify any mistakes.
Another benefit of using worksheets is that they offer a wide range of problems that vary in difficulty. This allows you to gradually progress from simple to more complex quadratic equations, ensuring that you are well-prepared for any type of problem you may encounter. Worksheets also provide an opportunity for you to practice applying different methods of solving quadratic equations, helping you become more versatile in your problem-solving approach.
Furthermore, quadratic equations worksheets can be a valuable tool for self-assessment. By completing worksheets on your own and comparing your answers to the provided solutions, you can identify areas where you may need additional practice or review. This self-assessment can help you track your progress and focus on areas where you need to improve, ultimately leading to a deeper understanding of quadratic equations.
In conclusion, quadratic equations worksheets are a valuable resource for practicing and improving your skills in solving quadratic equations. By using worksheets, you can benefit from structured practice, a variety of problems, and self-assessment opportunities. So, if you are looking to enhance your proficiency in quadratic equations, consider incorporating worksheets into your study routine.
