When facing financial difficulties, it is important to come up with a repayment plan to manage debts effectively. A repayment plan agreement template can help outline the terms and conditions of repayment, ensuring both parties are on the same page.
Creating a repayment plan agreement can provide clarity and structure to the repayment process. It allows for setting realistic goals and timelines for repayment, which can help alleviate stress and uncertainty.
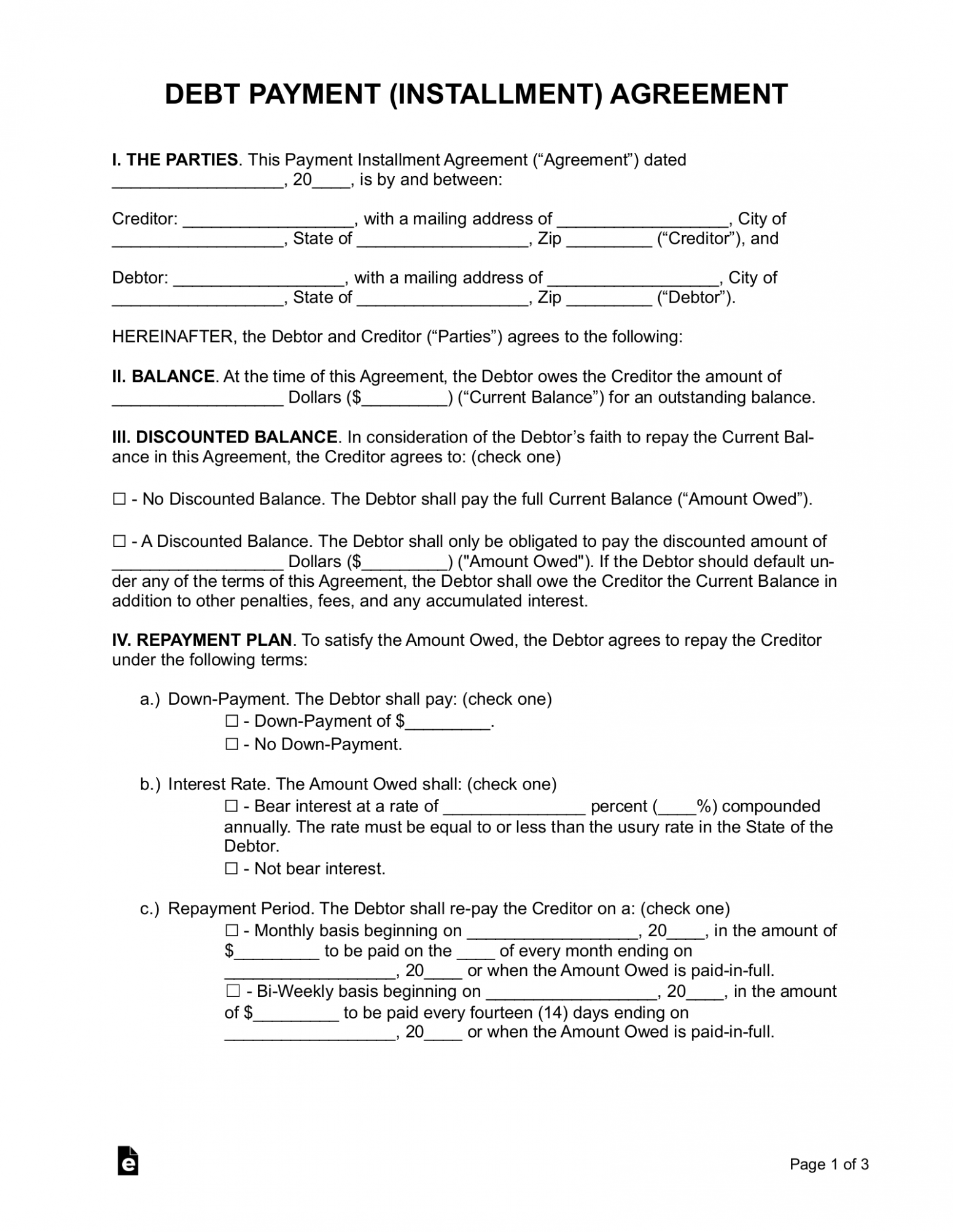
Here is a simple repayment plan agreement template that can be used as a starting point:
Repayment Plan Agreement Template
1. Parties Involved: This section should clearly identify the parties involved in the agreement, including their names and contact information.
2. Debt Details: Outline the details of the debt, including the total amount owed, the interest rate (if applicable), and any other relevant terms.
3. Repayment Schedule: Specify the repayment schedule, including the amount to be paid and the frequency of payments. This can be in the form of weekly, bi-weekly, or monthly payments.
4. Late Payment Consequences: Clearly outline the consequences of late payments, such as additional fees or penalties. This can help incentivize timely payments.
5. Signatures: Both parties should sign the agreement to indicate their acceptance of the terms and conditions. This can help prevent any misunderstandings or disputes in the future.
By using a repayment plan agreement template, both parties can work together towards a common goal of debt repayment. It provides a clear roadmap for managing debts and ensures that everyone is held accountable for their obligations.
In conclusion, a repayment plan agreement template can be a valuable tool for managing debts and achieving financial stability. By outlining the terms and conditions of repayment, both parties can work towards a mutually beneficial solution. It is important to customize the template to fit the specific needs and circumstances of the parties involved.
