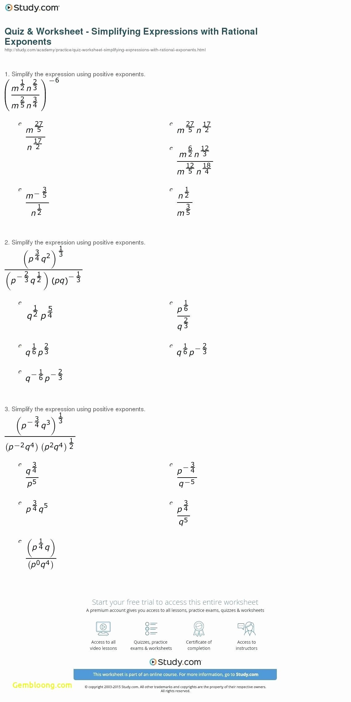
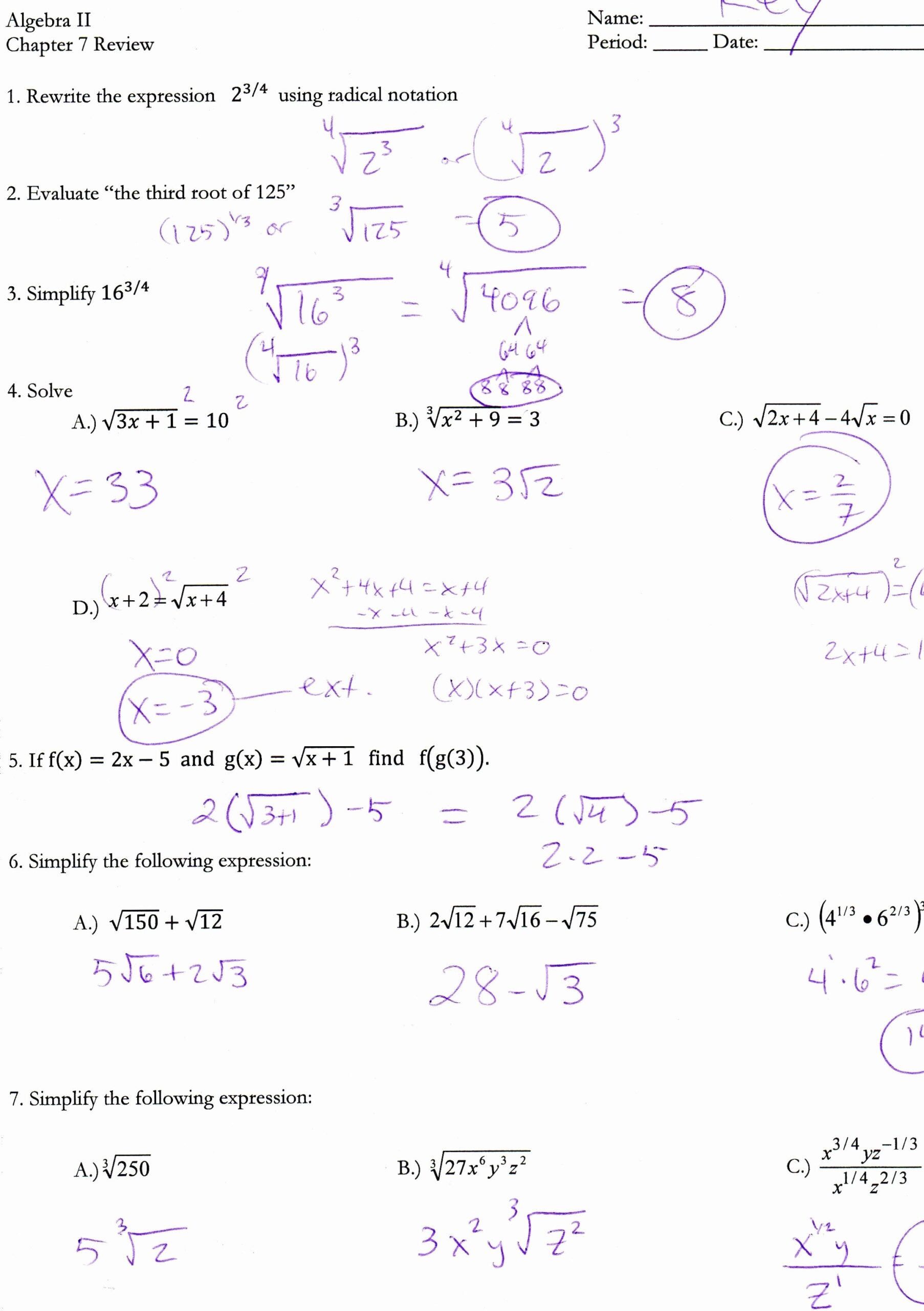
Radical equations involve expressions with square roots, cube roots, etc. Solving these equations can be tricky, but with practice and understanding of the rules, it becomes easier. One way to practice solving radical equations is by using a worksheet specifically designed for this purpose.
A solve radical equations worksheet typically contains a variety of problems involving radicals. These problems range from simple equations with one radical term to more complex equations with multiple radicals. By working through these problems, students can improve their understanding of how to solve radical equations step by step.
Solve Radical Equations Worksheet
One common type of problem on a solve radical equations worksheet is solving equations with one radical term. For example, you may be asked to solve the equation √(x-3) = 2. To solve this equation, you would square both sides to eliminate the square root and then solve for x. The worksheet may also include equations with variables in the radicand, requiring additional steps to isolate the variable.
Another type of problem you might encounter on a solve radical equations worksheet is equations with multiple radical terms. These problems can be more challenging as they require careful manipulation of the equations to isolate the radicals and solve for the variable. By practicing these types of problems, students can improve their skills in simplifying expressions and solving complex equations.
Some worksheets may also include word problems that involve radical equations. These problems require students to translate real-world scenarios into mathematical equations involving radicals. By practicing these types of problems, students can improve their problem-solving skills and apply their knowledge of radical equations in practical situations.
In conclusion, a solve radical equations worksheet is a valuable tool for practicing and mastering the skills needed to solve radical equations. By working through a variety of problems, students can improve their understanding of how to manipulate expressions with radicals and solve equations involving them. With practice and perseverance, students can become more confident in solving radical equations and applying their skills to solve real-world problems.
