Trigonometric equations are fundamental in mathematics and have a wide range of applications in various fields such as physics, engineering, and computer science. Being able to solve trigonometric equations is essential for understanding the behavior of periodic functions and modeling real-world phenomena.
Trigonometric equations involve trigonometric functions such as sine, cosine, and tangent. These equations can be solved using algebraic techniques and trigonometric identities to find the values of the unknown variables that satisfy the given equation. Solving trigonometric equations can be challenging, but with practice and the right techniques, it becomes easier to tackle them.
Solving Trigonometric Equations Worksheet
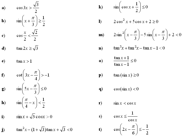
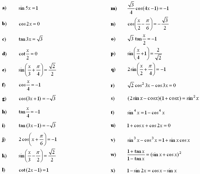
A solve trigonometric equations worksheet is a valuable resource for students to practice solving various trigonometric equations. These worksheets typically contain a mix of equations involving different trigonometric functions and require students to apply their knowledge of trigonometry to find the solutions.
One common type of trigonometric equation is the basic trigonometric equation, which involves a single trigonometric function such as sine or cosine. Students can use trigonometric identities and algebraic manipulation to simplify the equation and find the values of the unknown variable that satisfy the equation.
Another type of trigonometric equation is the inverse trigonometric equation, which involves the inverse trigonometric functions such as arcsine or arccosine. In these equations, students need to apply the properties of inverse trigonometric functions to solve for the unknown variable.
Trigonometric equations involving multiple trigonometric functions or nested trigonometric functions can also be found in solve trigonometric equations worksheets. These equations require students to use a combination of trigonometric identities and algebraic techniques to simplify the equation and find the solutions.
By practicing with solve trigonometric equations worksheets, students can improve their problem-solving skills and deepen their understanding of trigonometric functions. These worksheets provide valuable practice opportunities for students to master the techniques needed to solve a variety of trigonometric equations.
In conclusion, solving trigonometric equations is an important skill for students studying mathematics and related fields. By using solve trigonometric equations worksheets, students can enhance their problem-solving abilities and gain confidence in dealing with trigonometric equations. With practice and perseverance, students can become proficient in solving trigonometric equations and apply their knowledge to solve real-world problems.
