When it comes to math, solving equations and inequalities can be a challenging task for many students. It requires a good understanding of mathematical concepts and the ability to apply them correctly. One effective way to practice and improve these skills is by using worksheets specifically designed for solving equations and inequalities.
Worksheets provide a structured format for practicing various types of equations and inequalities. They offer a range of problems that gradually increase in difficulty, allowing students to build their confidence and skills step by step. By working through these worksheets, students can identify their strengths and weaknesses and focus on areas that need improvement.
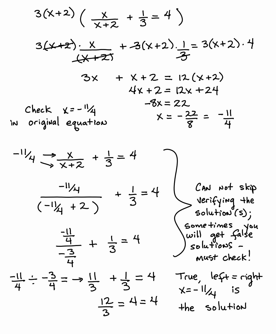
Solving Equations and Inequalities Worksheet
One of the key benefits of using worksheets for solving equations and inequalities is the opportunity for repeated practice. Repetition is essential for mastering mathematical concepts, and worksheets provide a convenient way to review and reinforce learning. By completing multiple problems on a worksheet, students can solidify their understanding and develop fluency in solving equations and inequalities.
Worksheets also offer a structured approach to learning, with problems organized by topic or difficulty level. This allows students to focus on specific skills or concepts that they may find challenging. By working through a variety of problems, students can gain a deeper understanding of different strategies and techniques for solving equations and inequalities.
Additionally, worksheets provide immediate feedback on students’ progress. Most worksheets include answer keys that allow students to check their work and correct any mistakes. This feedback is valuable for identifying areas of improvement and guiding future practice. It also helps students build confidence by showing them where they have succeeded and where they may need to focus more attention.
In conclusion, solving equations and inequalities worksheets are valuable tools for practicing and improving mathematical skills. They offer a structured format for repeated practice, help students identify areas for improvement, and provide immediate feedback on their progress. By using worksheets regularly, students can enhance their problem-solving abilities and build confidence in their mathematical skills.
