Exponential equations can be challenging to solve, but with the right strategies and practice, they can become more manageable. One effective way to practice solving exponential equations is by working on a worksheet specifically designed for this purpose. These worksheets typically contain a variety of problems that allow students to apply different techniques and methods to find the solutions. By working through these worksheets, students can improve their understanding of exponential equations and build their problem-solving skills.
Exponential equations involve variables in the exponent, which can make them more complex than linear equations. However, by following a systematic approach and using properties of exponents, these equations can be solved step by step. Working on a worksheet dedicated to exponential equations can help students develop their problem-solving abilities and gain confidence in tackling these types of equations.
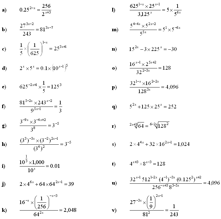
One common type of problem found on a solving exponential equations worksheet is solving equations with the same base on both sides. In these problems, the goal is to set the exponents equal to each other and solve for the variable. By practicing these types of problems, students can become more comfortable with manipulating exponential expressions and applying the rules of exponents.
Another type of problem that may appear on a worksheet is solving exponential equations with different bases. In these cases, students may need to rewrite the bases using a common exponent before solving for the variable. This type of problem challenges students to think critically and apply their knowledge of exponential properties to find the solution.
By working through a variety of problems on a solving exponential equations worksheet, students can improve their problem-solving skills and gain a deeper understanding of exponential equations. These worksheets provide a structured way to practice different types of problems and reinforce the concepts learned in class. With consistent practice and perseverance, students can become more proficient at solving exponential equations and feel more confident in their math abilities.
Overall, solving exponential equations worksheets are valuable tools for students to practice and improve their skills in solving these types of equations. By working through a variety of problems, students can strengthen their understanding of exponential properties and develop effective problem-solving strategies. With dedication and practice, students can master the art of solving exponential equations and excel in their math studies.
