Literal equations can be a challenging concept for students to grasp, but with practice and understanding, they can become second nature. One way to help students master this concept is through solving for literal equations worksheets. These worksheets provide students with the opportunity to practice solving equations where a variable is expressed in terms of other variables.
By working through these worksheets, students can develop their problem-solving skills and gain a deeper understanding of algebraic concepts. Through practice, students can learn to manipulate equations and solve for a specific variable, which is a valuable skill in many areas of mathematics and science.
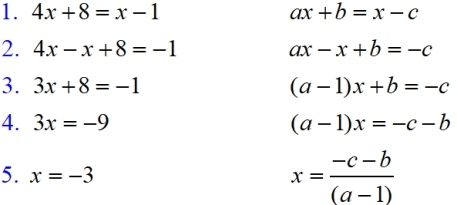
When working on a solving for literal equations worksheet, students are given equations where a variable is expressed in terms of other variables. The goal is to isolate the variable of interest and solve for its value. This often involves rearranging the equation using algebraic techniques such as distributing, combining like terms, and isolating the variable on one side of the equation.
One strategy for solving literal equations is to first identify the variable that needs to be solved for. Then, students can work step by step to isolate the variable by performing inverse operations. It is important for students to remember to perform the same operation on both sides of the equation to maintain equality.
As students work through solving for literal equations worksheets, they can gain confidence in their algebraic abilities and improve their problem-solving skills. These worksheets provide a structured way for students to practice applying algebraic concepts in a real-world context.
Overall, solving for literal equations worksheets are a valuable tool for helping students master algebraic concepts and develop their problem-solving skills. By working through these worksheets, students can gain a deeper understanding of algebra and improve their ability to manipulate equations. With practice and perseverance, students can become proficient in solving for literal equations and apply these skills in various mathematical and scientific contexts.
