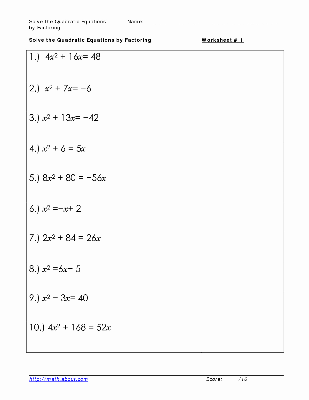
Quadratic equations are equations of the form ax^2 + bx + c = 0, where a, b, and c are constants. Solving quadratic equations can be challenging for students, but with practice and guidance, it can become easier. One effective way to practice solving quadratic equations is through worksheets that provide a variety of problems to work on.
Worksheets are a great way for students to practice their skills and test their understanding of quadratic equations. They can be used as homework assignments, in-class activities, or as extra practice for students who need more help. By working through a series of problems on a worksheet, students can improve their problem-solving skills and gain confidence in solving quadratic equations.
When working on a quadratic equations worksheet, it’s important for students to remember the basic steps for solving these types of equations. The first step is to identify the values of a, b, and c in the given equation. Then, students can use the quadratic formula or factoring techniques to find the solutions for x. It’s also important for students to check their answers by plugging them back into the original equation to ensure they are correct.
One effective strategy for solving quadratic equations is to break down the problem into smaller steps. For example, students can start by identifying the values of a, b, and c in the equation, and then move on to finding the discriminant and using the quadratic formula to find the solutions. By breaking the problem down into smaller steps, students can make the process more manageable and less overwhelming.
Another helpful tip for solving quadratic equations is to practice regularly and seek help when needed. Students can work on worksheets regularly to improve their skills and reinforce their understanding of the concepts. If students are struggling with a particular problem or concept, they can seek help from their teacher, classmates, or online resources to get the support they need.
In conclusion, solving quadratic equations can be challenging, but with practice and guidance, students can improve their skills and become more confident in their abilities. Worksheets are a valuable tool for practicing and mastering the techniques needed to solve quadratic equations. By working through a variety of problems on a worksheet, students can enhance their problem-solving skills and build a strong foundation in algebra.
