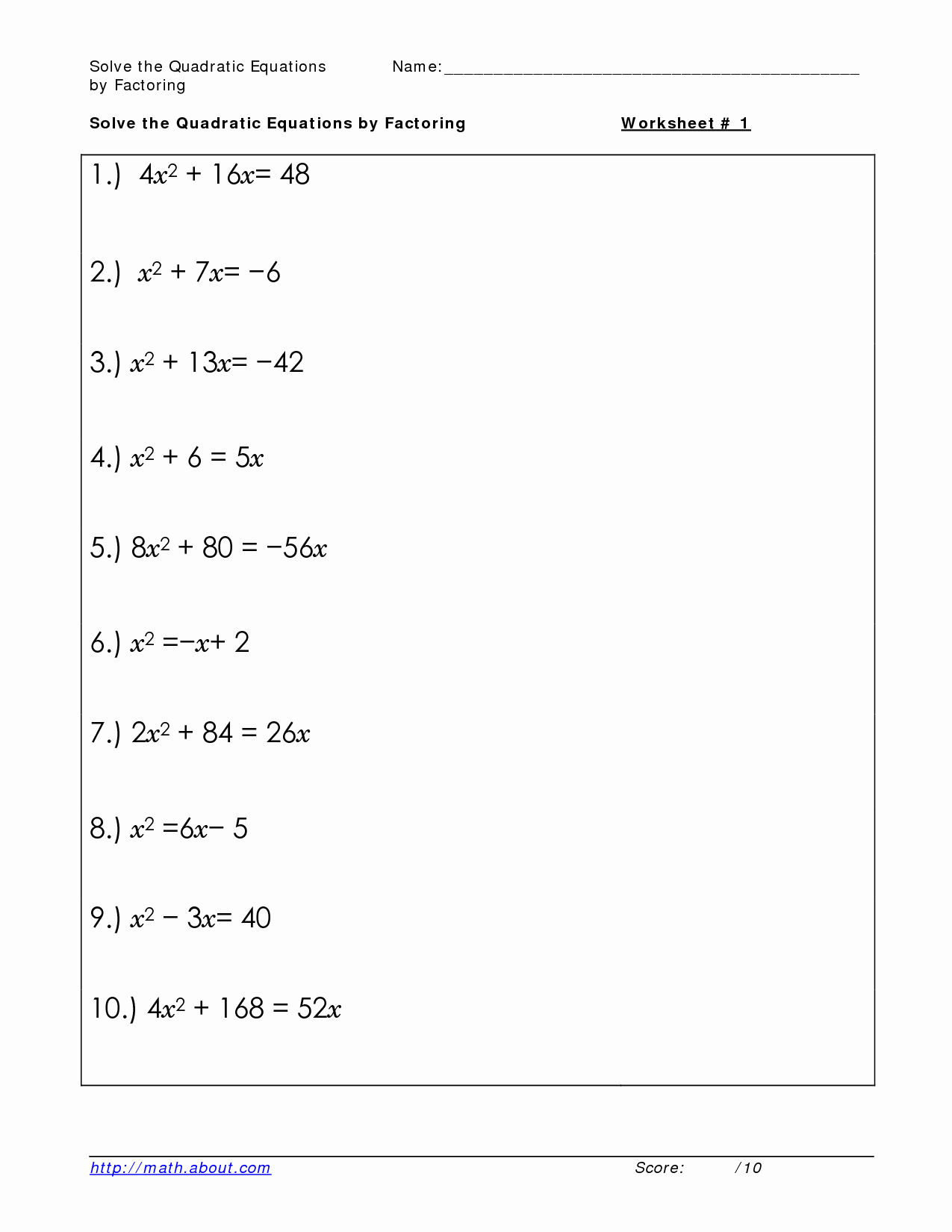
Quadratic equations are polynomial equations of the form ax^2 + bx + c = 0, where a, b, and c are constants and a ≠ 0. One method to solve quadratic equations is by factoring. Factoring involves breaking down the quadratic equation into its factors to find the values of x that satisfy the equation.
Factoring quadratics can be a challenging concept for students to grasp, but with practice and patience, it can become second nature. Solving quadratic equations by factoring worksheet can help students reinforce their understanding of the factoring process and improve their problem-solving skills.
When solving quadratic equations by factoring, it is essential to follow a systematic approach. Start by setting the equation equal to zero and then factor the quadratic expression into two binomials. Next, set each factor equal to zero and solve for x. The solutions to the quadratic equation are the values of x that make the equation true.
One common strategy for factoring quadratics is to use the AC method, where you find two numbers that multiply to ac and add up to b. These two numbers are used to factor the quadratic expression into two binomials. Another method is to look for common factors and use the distributive property to factor the expression.
Practicing solving quadratic equations by factoring worksheet can help students develop their factoring skills and build confidence in solving quadratic equations. By working through a variety of problems, students can become more proficient in factoring quadratics and improve their overall math skills.
In conclusion, solving quadratic equations by factoring worksheet is a valuable tool for students to practice and master the factoring process. By following a systematic approach and using different factoring methods, students can improve their problem-solving skills and become more confident in solving quadratic equations. With practice and perseverance, students can become proficient in factoring quadratics and excel in their math studies.
