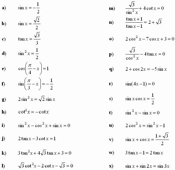
Trigonometric equations can be a challenging topic for many students to grasp. However, with the right resources and practice, solving these equations can become much easier. One helpful tool for students looking to improve their understanding of trigonometric equations is a worksheet with answers in PDF format. These worksheets provide practice problems and solutions that can help reinforce the concepts learned in class.
By working through a variety of problems on a worksheet, students can gain confidence in their ability to solve trigonometric equations. Additionally, having access to answers allows them to check their work and identify any mistakes they may have made. This immediate feedback is crucial in helping students learn from their errors and improve their problem-solving skills.
One common type of trigonometric equation involves finding the value of an unknown angle given certain conditions. These problems often require students to use trigonometric identities and properties to simplify expressions and solve for the unknown variable. By practicing these types of problems on a worksheet, students can become more comfortable with the techniques needed to solve them.
Another type of trigonometric equation involves solving for a specific trigonometric function or expression. These problems may require students to use inverse trigonometric functions, trigonometric identities, and algebraic manipulation to find the solution. Working through a variety of these problems on a worksheet can help students develop their problem-solving skills and deepen their understanding of trigonometric functions.
Overall, using a trigonometric equations worksheet with answers in PDF format can be a valuable resource for students looking to improve their skills in this challenging subject. By practicing a variety of problems and checking their work against the provided solutions, students can gain confidence in their abilities and become more proficient at solving trigonometric equations.
In conclusion, solving trigonometric equations can be a daunting task for many students. However, by utilizing a worksheet with answers in PDF format, students can practice a variety of problems and receive immediate feedback on their work. This can help them build their problem-solving skills and improve their understanding of trigonometric concepts. With dedication and practice, students can become more confident in their ability to tackle trigonometric equations effectively.
