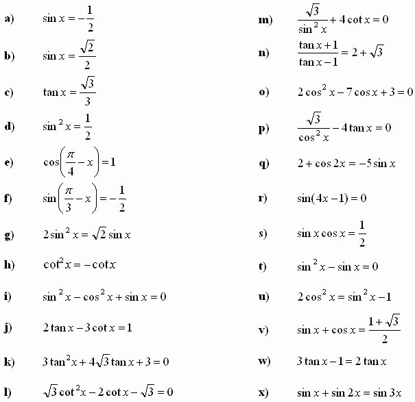
Trigonometric equations can be tricky to solve, but with the right strategies and practice, you can master them. One effective way to improve your skills is by working on a trigonometric equations worksheet. These worksheets provide a variety of equations for you to solve, helping you to develop your problem-solving abilities and strengthen your understanding of trigonometry.
By working on a trigonometric equations worksheet, you can identify any areas where you may need extra practice or support. These worksheets often contain a mix of different types of equations, allowing you to challenge yourself and improve your skills in solving trigonometric problems. Additionally, completing these worksheets can help you build confidence in your abilities and prepare you for more complex equations in the future.
When approaching a trigonometric equations worksheet, it’s important to remember key strategies for solving these types of equations. One common method is to use trigonometric identities to simplify the equation before solving for the unknown variable. Additionally, it can be helpful to look for patterns or relationships between the different trigonometric functions in the equation, which can guide you in the solving process.
Another useful technique for solving trigonometric equations is to consider the unit circle and the values of trigonometric functions for different angles. By understanding the relationships between angles and trigonometric functions, you can more easily identify solutions to equations and check your work for accuracy. Practice with a variety of equations on a worksheet can help reinforce these concepts and improve your problem-solving skills.
Overall, working on a trigonometric equations worksheet can be a valuable tool for improving your skills in solving these types of equations. By practicing with a variety of problems and utilizing key strategies for solving trigonometric equations, you can strengthen your understanding of trigonometry and build confidence in your abilities. So, don’t hesitate to tackle a trigonometric equations worksheet and take your skills to the next level!
