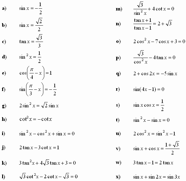
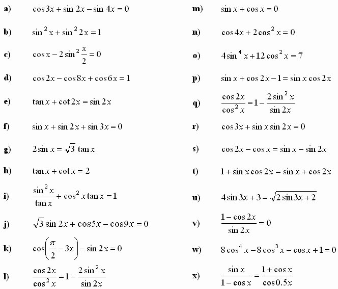
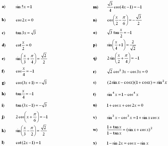
Trigonometric equations can be challenging for many students to master, but with practice and dedication, they can become easier to solve. One effective way to practice solving trig equations is by using a trig equations worksheet. These worksheets provide a variety of problems that allow students to apply their knowledge of trigonometry in a structured and organized manner.
Trig equations worksheets typically include a mix of basic and advanced problems that require students to use trigonometric identities, formulas, and properties to find solutions. By working through these worksheets, students can improve their problem-solving skills and gain a deeper understanding of trigonometric concepts.
One type of problem commonly found on trig equations worksheets is solving for a specific angle given a trigonometric function. Students must use their knowledge of trigonometric ratios such as sine, cosine, and tangent to determine the angle that satisfies the equation. These problems help reinforce the relationship between angles and trigonometric functions.
Another type of problem that students may encounter on trig equations worksheets is solving for a variable within a trigonometric equation. These problems often involve manipulating equations using trigonometric identities and properties to isolate the variable and find its value. This type of problem helps students practice algebraic skills in the context of trigonometry.
Trig equations worksheets may also include word problems that require students to apply trigonometry to real-world scenarios. These problems challenge students to interpret information, set up equations based on given conditions, and solve for unknown quantities using trigonometric functions. Word problems help students see the practical applications of trigonometry in various contexts.
Overall, trig equations worksheets are valuable tools for students to improve their skills in solving trigonometric equations. By working through a variety of problems, students can reinforce their understanding of trigonometric concepts, develop their problem-solving abilities, and gain confidence in their math skills. With consistent practice and perseverance, students can master trigonometric equations and excel in their math studies.
