Word problems involving systems of equations can be challenging for students to solve. These problems require students to set up multiple equations based on the given information and then solve them simultaneously to find the values of the variables. This type of problem-solving helps students develop critical thinking and algebraic skills.
Working on word problems for systems of equations worksheets can be a great way for students to practice applying algebraic concepts to real-world scenarios. These problems often involve situations such as finding the cost of items, determining quantities of different elements, or calculating distances between objects. By practicing these types of problems, students can enhance their problem-solving abilities and improve their understanding of algebraic concepts.
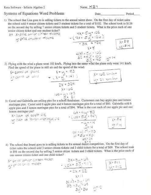
Examples of Word Problems for Systems of Equations Worksheet
Let’s consider an example of a word problem that involves a system of equations:
Example: Sarah buys 3 apples and 2 bananas for $5.50. If apples cost $1.50 each and bananas cost $0.75 each, what is the cost of each fruit?
To solve this problem, we can set up the following system of equations:
3a + 2b = 5.50
1.50a + 0.75b = 5.50
By solving this system of equations, we can find that apples cost $1 each and bananas cost $1.50 each. This type of problem requires students to carefully analyze the information given and apply algebraic methods to find the solutions.
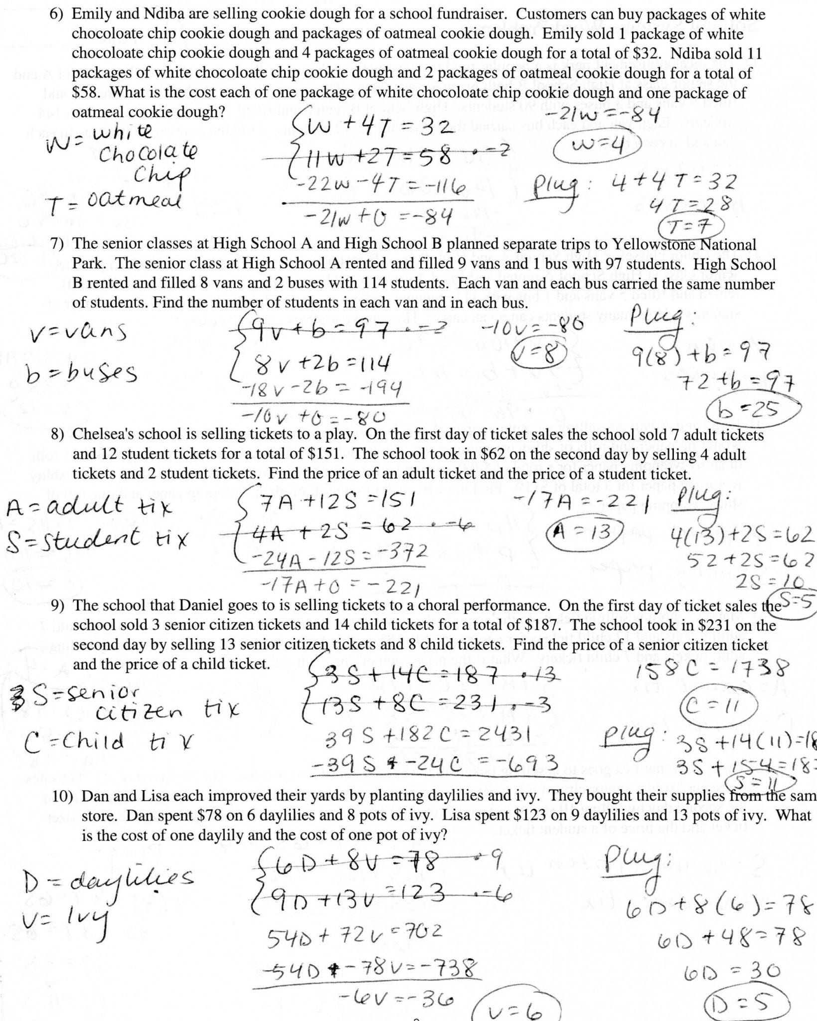
Word problems for systems of equations worksheets can also include more complex scenarios that involve multiple variables and equations. These problems challenge students to think critically and apply their algebraic skills to solve real-world problems. By practicing these types of problems, students can improve their problem-solving abilities and gain a deeper understanding of algebraic concepts.
In conclusion, word problems for systems of equations worksheets are a valuable tool for students to practice applying algebraic concepts to real-world scenarios. These problems help students develop critical thinking skills and enhance their problem-solving abilities. By working on these worksheets, students can improve their algebraic skills and gain confidence in solving complex mathematical problems.
