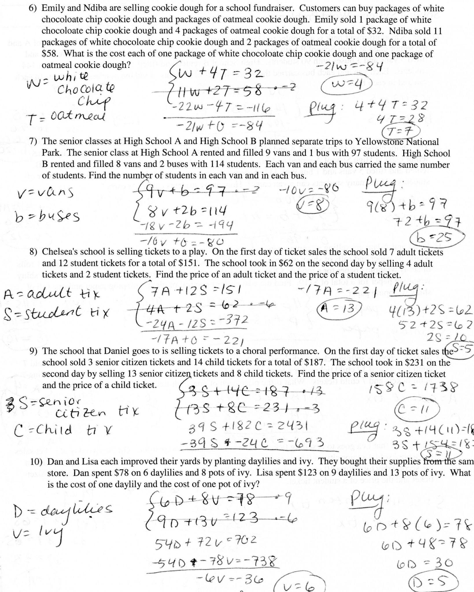
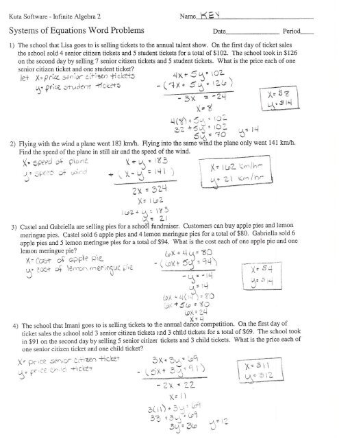
Word problems involving systems of equations can be challenging for students as they require critical thinking and problem-solving skills. These types of problems often involve real-life scenarios where multiple variables need to be taken into account to find a solution.
One effective way to practice solving word problems involving systems of equations is through worksheets. These worksheets provide students with a variety of scenarios to work through, helping them develop their understanding of how to set up and solve systems of equations in different contexts.
For example, a typical word problem on a systems of equations worksheet might involve two unknowns, such as the number of apples and oranges purchased at a fruit stand. Students would need to create two equations based on the given information, such as the total cost of the fruits and the total number of fruits purchased, and then solve the system of equations to find the values of the two unknowns.
Another common type of word problem on a systems of equations worksheet could involve a mixture of two substances, such as a sugar and water solution. Students would need to set up equations based on the concentrations of the substances in the mixture and the total volume of the mixture, and then solve the system of equations to find the amounts of each substance in the final solution.
By practicing with a variety of word problems on systems of equations worksheets, students can improve their problem-solving skills and gain confidence in their ability to tackle complex mathematical problems. These worksheets provide valuable practice in setting up equations, solving systems of equations using different methods, and interpreting the solutions in the context of the given scenarios.
In conclusion, word problems systems of equations worksheets are a valuable tool for students to practice and improve their skills in solving real-life mathematical problems. By working through a variety of scenarios, students can develop their ability to set up and solve systems of equations in different contexts, preparing them for success in more advanced math courses and real-world applications.
