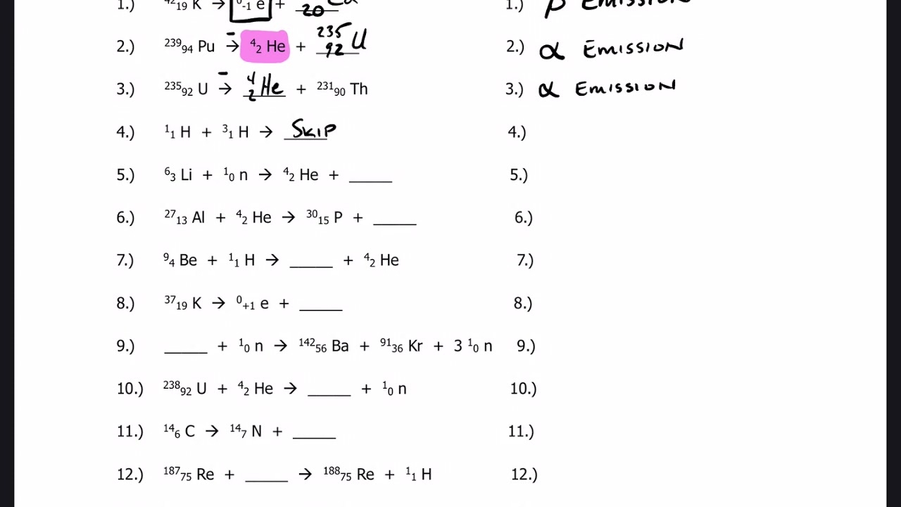
When it comes to studying nuclear chemistry, one important concept to grasp is how to balance nuclear equations. This process involves ensuring that the number of protons and neutrons on both sides of the equation are equal, while also maintaining the total atomic mass. It may seem daunting at first, but with practice and understanding of the principles involved, balancing nuclear equations can become second nature.
One of the key reasons why balancing nuclear equations is crucial is to maintain the conservation of mass and charge. In nuclear reactions, atoms are rearranged, and new elements are formed. By balancing the equation, we ensure that the total number of protons and neutrons remains the same before and after the reaction. This fundamental principle is essential in understanding how nuclear reactions occur and how they can be manipulated for various applications.
When balancing nuclear equations, it is important to remember that certain rules apply. For example, the total atomic mass must be conserved, meaning that the sum of the atomic masses on both sides of the equation should be equal. Additionally, the total charge, which is determined by the number of protons, must also be balanced. By following these rules and applying them systematically, one can successfully balance even the most complex nuclear equations.
Practice makes perfect when it comes to balancing nuclear equations. Working through worksheets with a variety of nuclear reactions can help reinforce the principles and techniques involved. By practicing regularly, students can improve their skills and confidence in balancing nuclear equations, making it easier to tackle more challenging problems in the future. Remember, the key is to approach each equation methodically and systematically, ensuring that all elements are accounted for and balanced.
In conclusion, balancing nuclear equations is a fundamental skill in the study of nuclear chemistry. By understanding the principles involved, following the rules of conservation of mass and charge, and practicing regularly, students can master this concept. Worksheets are a valuable tool in honing these skills and building confidence in balancing nuclear equations. With dedication and perseverance, anyone can become proficient in this essential aspect of nuclear chemistry.





