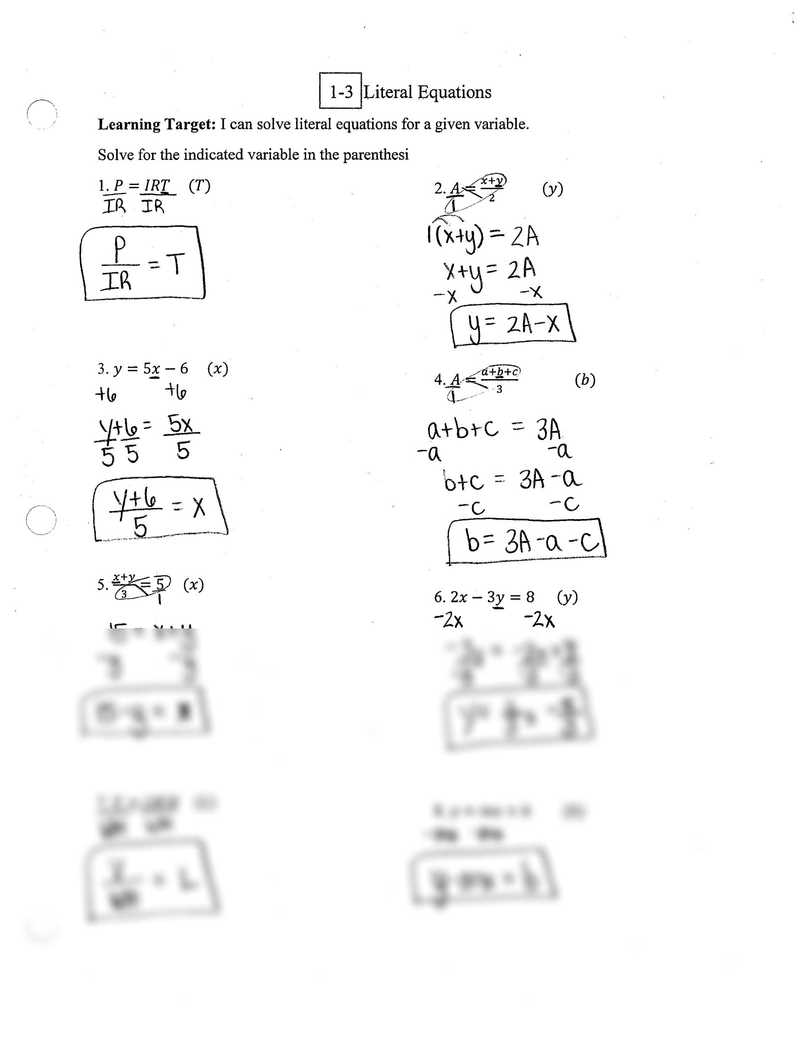
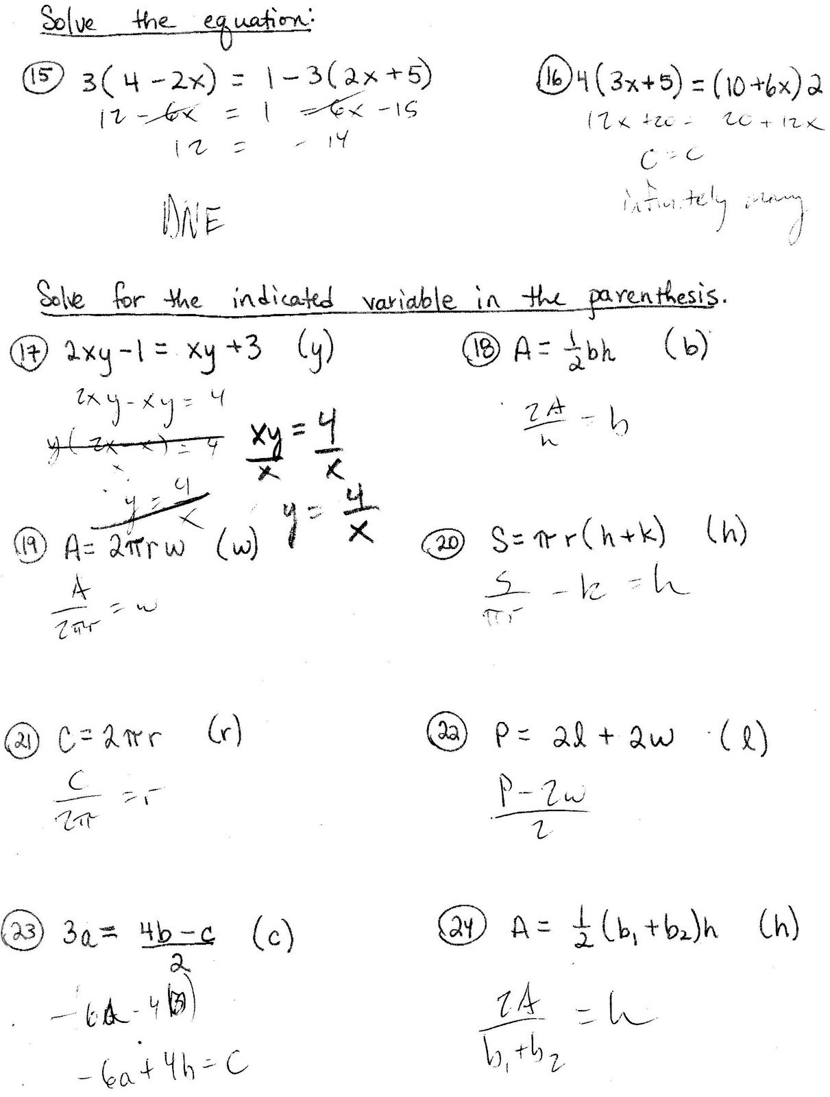
Literal equations involve solving for a specific variable in terms of other variables. This can be a challenging concept for students to grasp, but with practice and guidance, they can become proficient in manipulating equations to find the desired variable. One way to reinforce this skill is through the use of worksheets that provide various equations for students to solve.
These worksheets typically contain equations where one variable is isolated on one side of the equation and the others are on the other side. Students are tasked with rearranging the equations to solve for the desired variable. This not only helps them practice their algebraic skills but also improves their understanding of how variables interact in equations.
Worksheet on Literal Equations
One common type of problem found on a worksheet on literal equations is solving for a specific variable in formulas. For example, students may be given the formula for the area of a rectangle (A = l * w) and asked to solve for the length (l) in terms of the area (A) and width (w). This requires them to rearrange the equation to isolate the variable they are solving for.
Another type of problem that may be included on a worksheet on literal equations is solving for a variable in a real-world context. Students may be given a problem involving a scenario such as calculating the time it takes for a car to travel a certain distance at a given speed. By setting up and solving the equation, students can practice applying the concept of literal equations to practical situations.
Through working on worksheets on literal equations, students can improve their problem-solving skills and strengthen their algebraic abilities. By practicing manipulating equations to isolate variables, students can become more confident in their ability to solve complex problems. These worksheets provide a structured way for students to practice and reinforce their understanding of literal equations.
In conclusion, worksheets on literal equations are a valuable tool for helping students master the concept of solving for variables in equations. By providing practice problems that require students to rearrange equations to isolate specific variables, these worksheets can improve students’ algebraic skills and problem-solving abilities. Through consistent practice and guidance, students can become proficient in solving literal equations and applying them to real-world scenarios.
